千百年来,人类对于太空的探索从未停止。众所周知,火药是中国古代的四大发明之一,宋朝人发明了火药,把火药装填到容器里并绑在箭矢上。利用火药燃烧释放出的高温气体的反冲作用和原本弩箭提供的初始动能,高速飞向敌军。一支原本普通的箭矢,击中后可以让目标发生燃烧,让武器有了爆炸效果+范围伤害(手动狗头),这便是火箭的鼻祖(应该说是窜天猴的鼻祖才对)。
基于空气动力学的现代火箭与宋朝的土火箭刚开始被研发的目的其实都很相似——当作武器。众所周知,V-2火箭作为现代运载火箭和远程导弹的先驱之一,被德国设计之初,就是作为远程打击的弹道导弹。在研发过程经历了很多失败,在冯布劳恩团队的努力下,最终德军在1944年首次将其向法国境内发射。作为纳粹的德国,研发的导弹让无数平民百姓流离失所,给英法等国造成沉重打击。很多高端技术(例如计算机),最初都是作为军事用途,逐渐民用化后得以走进寻常百姓的生活。爱好和平的我们当然不希望看到科学技术被当作武器,但国际局势让我们仍然要不遗余力地发展这些技术,航天事业已成为各大国以科技实力为代表的综合国力的重要角力场。
冯·布劳恩
动辄几百吨火箭之所以能够穿越苍穹直插云霄,多亏了它的“心脏”——火箭发动机。根据牛顿第一定律,力是驱动万物最本质的原因,现代火箭的推力主要来自固体发动机或液体发动机。固体发动机和液体发动机各有优缺点,留个悬念,我们可以以后慢慢了解。
土星五号的F-1和冯·布劳恩的合影
土星五号总共搭载了5台F-1发动机
在有了高能的固体燃料或者液体燃料和能让它们高效利用的发动机后,我们就具备了送火箭上天的初始条件。但让这些钢铁巨兽直冲云霄的物理原理究竟是什么呢?相信我们小时候都吹过气球,它的原理类似于吹满气的气球一松手就在房间里到处窜,也类似于章鱼等软体动物向后喷水来向前运动。对,就是反冲作用!
我们现在知道火箭要想飞出大气层需要极高的速度,但是这个速度是通过逐渐加速来实现的。如果接触过高中物理不难知道,当加速度方向向上的时候,里面的物体会处于一个超重的状态,不仅仅会受到自身的重力mg,还会受到和大小为ma的非惯性力。在火箭加速过程中,航天员最多可能承受8g,就是需要承受自身重力的八倍,试想一下,八个自己压在身上还要对各种指令作出回应,这有多难。所以这就是为什么各国的航天员选拔都十分严格,几乎都是挑选身体素质极佳,经验丰富的歼击机飞行员。
如果加速太快那么无论是火箭乘员还是火箭中的仪器都承受不了,如果加速时间太长火箭推进剂又消耗过大、飞行距离过远,那么用什么方法才能计算出合理的速度增量呢?
在火箭发射过程中,由于内力远大于外力,所以动量守恒。以火箭的速度方向为正方向,发射前的总动量为0, 发射后火箭的动量为mv,燃气的动量为:
由动量守恒得:
俄国科学家奥尔科夫斯基航天之父在对于火箭推进的研究中提出了一组公式,并在在1903年将其发表在《用火箭推进器探索宇宙》一文中。在该文中齐奥尔可夫斯基通过推导动量守恒原理,在不考虑空气阻力和地心引力的情况下,也没有考虑星体的引力影响,推导出理论上的火箭推进剂数量以及发动机参数对理想速度的影响。
在讲述这组公式之前,我们先了解几个概念:火箭的比冲Isp,Isp=I/m,单位为m/s,其中I为发动机产生的总冲量,m为燃烧的推进剂总质量,它定义为单位质量的推进剂所能带来的冲量,这与推进剂的化学性质和燃烧效率相关。
令某子级火箭在飞行过程中某一时刻总质量为m,后有一个微元时间dt,在这段微元时间内,燃料喷出的质量为dm,火箭速度变化为dv。火箭燃料相对于火箭的速度即发动机的质量比冲为Isp。
其中dvdm是二阶小量,可忽略,化简得:
即
等号两边同时定积分,同时考虑dm前符号应为-,因为火箭喷出工质,质量减小。
将此式积分:
V1即最终速度,V2即初始计量速度;m1即最终载荷与剩余模块的总质量,M即初始计量总质量。最后得到:
齐奥尔科夫斯基通过这个公式表明:火箭的速度与火箭发动机的喷气速度成正比并且火箭自身的结构质量越小,火箭所获得的速度越高。
所以想让火箭获得更大的“V”从而进入特定的轨道或者脱离星体的引力进行宇宙航行,有两种解决方法:
1.采用高能量推进剂,即高比冲推进剂,同时提升发动机的性能。目前比冲最大的推进剂组合是液氧液氢,它的比冲高达457S(以胖五为例),是比冲唯一一个超过400s的组合。一般来说液体推进剂比固体推进剂比冲要大,但是安全性一般要比固体推进剂差。两者各有优劣,以后的推文可以为大家专门细讲固体和液体发动机的故事。
长征五号
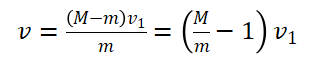
2.减轻火箭除去最终载荷与剩余模块的质量(为了方便用m代替),尽可能提高火箭的干质比。减轻质量m又可以分成两类。一种是通过使用复合材料尽可能减轻必要部位重量。另一种是俄国科学家齐奥尔科夫斯基提出了“火箭列车”的设计,就是把两节以上的火箭串联或并联起来,组成一列多级火箭来提高火箭的最终速度,使末级火箭达到第一宇宙速度。多级火箭利用了一种质量抛扔原理,即火箭发射后,把已经完成任务的无用的结构抛掉,使火箭发动机的能量最大限度地用于提高m的动能,从而间接地减轻火箭的结构质量,实现“轻装前进”。这样,在使用同样性能的火箭发动机和相同技术水平的箭体结构的条件下,用单级火箭无法达到的第一宇宙速度,而用多级火箭就能实现。
一审:潘芝鸣
二审:章 利
三审:李友明

当前位置: